Бюджетное решение для контроля веса и определения нагрузки на одинарную ось, двойную или тройную ось
Решение позволяет избегать штрафов за перегрузку и обеспечить равномерную загрузку грузовиков по осям.
Подключение как к пневмоподвеске, так и к рессорной (механической подвеске)
Для повышения точности измерения возможно подключение дополнительных датчиков как на правую сторону, так и на левую.
Индикация при всплывающей перегрузке в виде тревоги на дисплее
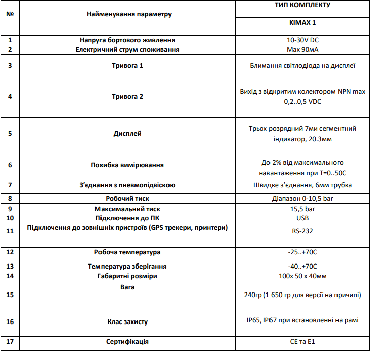
Комплект KIMAX 1, предназначенный для установки в кабине тягача, или на раме состоит из:
- Дисплей 1шт
- Каркас для установки в DIN слот кабины 1шт
- Соединительные кабели 1шт
- Угловые соединители от 1 до 4 шт.
- Пневмодросель высокого давления 6мм от 1 до 4 шт.
- T-фиттинг диаметром 8мм/6мм/8мм от 1 до 4 шт
- SG-датчик (опционально)
Принцип измерения нагрузки на ось пневмоподвески:
Комплект KIMAX 1 использует линейную зависимость между давлением воздуха и нагрузкой на одинарную ось. Если использовать два значения на каждой оси при положении «пустой» и «максимально загружен», то можно сформировать общую зависимость нагрузки.

В зависимости от нагрузки на транспортное средство, клапан уровня пневмоподвески поддерживает постоянную высоту между рамой и дорожным покрытием подкачкой давления в воздушные баллоны.
Передняя ось работает с одинарным контуром пневмоподвески. Задняя ось работает с правым и левым контуром пневмоподвески.
В зависимости от нагрузки на рессорную подвеску механическое напряжение на ось увеличивается. Это механическое напряжение измеряется SG-датчиком, устанавливаемым на каждую ось.

Условия установки.
Индивидуально, по согласованию с заказчиком, в зависимости от количества и места расположения объектов установки